Hitelkalkulátor
- Az alábbi adatok kitöltésével kiszámolhatod a kamatösszeg és a törlesztőrészlet mértékét.
Hitel kamat kalkulátor – számítsd ki a hitel költségeit és törlesztőrészletét
Hiteligénylés előtt fontos, hogy megértsd a hitellel kapcsolatos költségeket. Tudnod kell, hogy melyek azok a tényezők, amelyek nagy mértékben befolyásolják egy hitel kedvezőségét.
Egy hitelnél a teljes visszafizetendő összeget a futamidő, a hitelösszeg és a THM mértéke határozza meg.
**A hitelkalkulátor segítségével könnyen kiszámolhatod, hogy mekkora lesz a hitel teljes költsége. **A megfelelő adatok kitöltésével diagram és táblázatos formában is megtalálod a kamatösszeggel kapcsolatos adatokat.
Azt is megtudod, hogy mekkora összeget kell félretenned a törlesztésre havonta, negyedévente, félévente vagy évente, annak függvényében, hogy mi szerepel a hitelezővel megkötött szerződésben.
**A kamatláb mezőbe érdemes a THM-et megadni, **hiszen a THM minden számottevő hitellel kapcsolatos költséget és díjat magába foglal.
THM
A hiteleket a THM alapján érdemes összehasonlítani, hiszen a THM a kamaton kívül a hitelnek szinte az összes költségét magába foglalja.
Megtörténhet, hogy egy magas kamatú hitel alacsonyabb THM-mel rendelkezzen egy nála alacsonyabb kamatozású terméknél.
A legkedvezőbb hitel megtalálásához kattints a **"Hitelek összehasonlítása" **gombra.
Miért használd az összehasonlító kalkulátort?
Időt spórolsz meg. A kalkulátorral sokkal hamarabb megtalálod a kedvező hiteleket, mint az internetet böngészve.
Minden igényre találsz megfelelő kölcsönt. A kalkulátor akkor is segít neked, ha egészen kicsi összegű hitelt akarsz felvenni.
Könnyen elérheted a bankot. A megfelelő hitel kiválasztása után az igénylés gombra kattintva felveheted a kapcsolatot a bankkal.
Ingyenes. Az összehasonlításért semmit nem kell fizetni.
A hitel kezdetleges költségei
A **kezdetleges költségek **olyan felszámolt díjak, amelyek kifizetése a hitelfelvétel előtt történik meg.
Ha vannak olyan költségek, amelyeket az első számla során fogsz kifizetni, akkor **ezeket nem kell megadni a számológépben. **Kezeld őket úgy, mint egy extra költség, amit csak egyszer fogsz kifizetni.
Nincs minden hitelnek kezdetleges költsége. A legtöbb személyi kölcsön, lakáshitel** és autóhitel **nem határoz meg ilyen díjakat. Ha az általad választott kölcsön rendelkezik ilyen költségekkel, akkor viszont ezeket is számba kell venni.
Egyéb hitelfelvételi költségek
A kamaton kívül egyéb hitelfelvételi díjakkal is számolni kell, melyeket a THM magába foglal. Ide tartoznak a következők:
kezelési díjak
kifizetési szolgáltatással kapcsolatos költségek
kezdeti költségek
folyósítási díj
A készpénzben törlesztett hitelek általában további kezelési díjakkal rendelkeznek, amelyek nagy mértékben befolyásolják a hitelköltségeket.
Ezek a díjak minden alkalommal, a törlesztés befizetésével kerülnek automatikus levonásra.
Az ilyen jellegű törlesztés viszont nem gyakori, ugyanis a legtöbb esetben a bankok csak **utalással történő törlesztést **fogadnak el.
A hitelkamat mértéke
A hitel kamata nagy mértékben befolyásolja a THM nagyságát és a termék kedvezőségét. Egy kis százalékos eltérés hosszú távon több százezer forintos különbséget jelenthet.
Mitől függ a hitel kamata?
Jegybanki alapkamat. Minden hitel kamata tartalmazza a jegybanki alapkamatot, ami időnként változik.
**Egyéb kamatok. **A banki hitelek kamatára az állampapírok kamata is hatást gyakorol.
**Kockázat. **A bank számára egy kis jövedelemmel rendelkező ügyfél nagyobb kockázatot jelent, így ő csak magasabb kamat mellett kaphat hitelt.
**Hiteltípus. **Ha a hitel fedezet nélküli, akkor a bank számára sokkal kisebb a garancia arra, hogy a kölcsönbe adott összeg meg fog térülni.
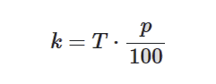
A kamatösszeget a következő egyszerű képlettel lehet kiszámolni:

Ahol:
k - kamatösszeg mértéke
T - kezdőtőke
p - kamatszázalék
Ezzel megkapod, hogy a p mértékű kamatozás valójában mekkora összeget jelent.
Hasonlítsd össze a hiteleket a legjobb ajánlat megtalálásához
A legjobb, legkedvezőbb kölcsön megtalálásához hasonlítsd össze a különböző hitelezők ajánlatait. Ne válaszd ki az első és legnépszerűbb hitelezőt, hanem szánj egy kis időt a döntés meghozatalára.
Az összehasonlító kalkulátorunk minden adatot figyelembe vesz a számításkor, és azokat az egyszeri költségeket, extra díjakat is figyelembe veszi, amelyek sokat változtatnak egy hitel kedvezőségén.
A legolcsóbb kölcsön a lista elején fog megjelenni.
Elkötelezettségünk az átláthatóság mellett
A Financer.com-nál elkötelezettek vagyunk pénzügyei segítésében. Minden tartalmunk betartja Szerkesztési Irányelveinket. Nyíltan kommunikálunk arról, hogyan értékeljük a termékeket és szolgáltatásokat az Értékelési Folyamatunkban, és hogyan termelünk bevételt a Hirdetői Tájékoztatónkban.
